臭氧的化學性質
1、臭氧的分解
臭氧的化學性質極不穩定,在空氣和水中都會慢慢分解成氧氣,其反應式為
2O?-3O?+285kJ(2-2)
由于分解時放出大量熱量,故當其含量在25%以上時,很容易爆炸。但一般臭氧化空氣中臭氧的含量很難超過10%,在臭氧用于飲用水處理的較長歷史過程中,還沒有一例關于臭氧爆炸的事例。
含量為1%以下的臭氧,在常溫常壓的空氣中分解半衰期為16h左右。隨著溫度的升高,分解速度加快,溫度超過100℃時,分解非常劇烈,達到270℃高溫時,可立即轉化為氧氣。臭氧在水中的分解速度比空氣中快得多。在含有雜質的水溶液中臭氧迅速回復到形成它的氧氣。如水中臭氧濃度為6.25×105mol/L(3mg/L)時,其半衰期為5~30min,但在純水中分解速度較慢,如在蒸餾水或自來水中的半衰期大約是20min(20℃),然而在二次蒸餾水中,經過85min后臭氧分解只有10%,若水溫接近0℃時,臭氧會變得更加穩定。
臭氧在水中的分解速度隨水溫和pH值的提高而加快,圖2-3為pH=7時,水溫和分解速度的關系,圖2-4為20℃時,pH和分解速度的關系。
為了提高臭氧利用率,水處理過程中要求臭氧分解得慢一些,而為了減輕臭氧對環境的污染,則要求處理后尾氣中的臭氧分解得快一些。
2、臭氧的氧化能力
臭氧的氧化性極強,其氧化還原電位僅次于F?,在其應用中

主要應用這一特性。可從表2-5中看出。
從表2-5可知,臭氧的標準電極電位除比氟低之外,比氧、氯、二氧化氯及高錳酸鉀等氧化劑都高。說明臭氧是常用氧化劑中氧化能力 很強的。同時,臭氧反應后的生成物是氧氣,所以臭氧是高效的無二次污染的氧化劑。

3、臭氧的氧化反應
3.1 與無機物的氧化反應
(1)臭氧與亞鐵的反應
3Fe²++2O?-3Fe³+ + 3O?
(2)臭氧與Mn2+的反應
Mn²++O?+H?O→MnO?+2H++O?(易)
Mn²++O?+H?O→MnO4-+2H+(難)
(3)臭氧與硫化物的反應
H?S+O?→SO?+H?O
3H?S+4O?--3H?SO4
3.2臭氧與有機物的反應
臭氧在水溶液中與有機物的反應極其復雜,下面僅以大家公認的幾種反應式列出以供參考。
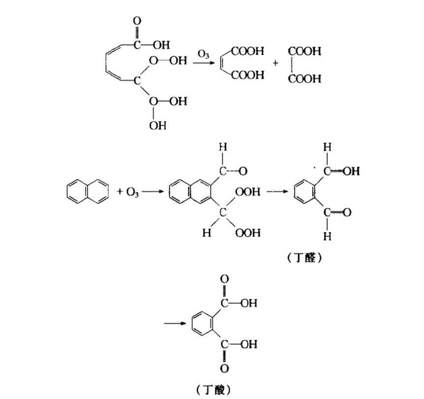
(1)臭氧與烯烴類化合物的反應臭氧容易與具有雙鍵的烯烴化合物發生反應,反應歷程描述如下

式中G代表OH、OCH?、OCCH?等基。反應的 很終產物可能是單體的、聚合的、或交錯的臭氧化物的混合體。臭氧化物分解成醛和酸。
(2)臭氧和芳香族化合物的反應臭氧和芳香族化合物的反應較慢,在系列苯<萘<菲<嵌二萘<蒽中,其反應速度常數逐漸增大。其反應如下
(3)對核蛋白(氨基酸)系的反應
(4)對有機氨的氧化
臭氧在下列混合物的氧化順序為
鏈烴>胺>酚>多環芳香烴>醇>醛>鏈烷烴